2020-09-20 11:00:07 sunmedia 2555
一、机械泵
机械泵由电机和泵体两大部分组成。普通型机械泵由电机通过皮带带动泵轴旋转;直连型机械泵是电机直接与泵轴连接,无中间传动环节。机械泵是利用气体膨胀、压缩、排出的原理,把气体从容器里抽出的。之所以称之为机械泵,是因为它是利用机械的方法,周期性地改变泵内吸气腔的容积,使容器中的气体不断地通过泵的进气口膨胀到吸气腔中,然后通过压缩经排气口排出泵外。改变泵内吸气腔容积的方式有活塞往复式、定片式和旋片式,分别称为往复式机械泵、定片式机械泵和旋片式机械泵。由于实际应用中,旋片式机械泵使用较多,现以旋片式机械泵为例说明其工作原理。

工作原理
片机械泵的结构如图所示,主要由圆柱空腔定子、偏心转子、旋片、弹簧、顶盖和排气阀等零件组成。偏心转子的顶端始终保持与泵体定子内腔接触,当偏心转子旋转时,始终沿定子的内壁滑动。转子上开有两个滑槽,分别安装一个旋片,中间有一个弹簧,当旋片随转子旋转时,借助弹簧张力和离心力,使两旋片紧贴在定子内壁滑动。整个空腔放在油箱内。

两个旋片把转子、定子内腔和定盖所围成的月牙形空间分隔成A、B、C三个部分,分别叫做吸气腔、压缩腔和排气腔。当转子按图示方向旋转时,与进气口相通的空间A的容积不断地增大,A空间的压强不断地降低,当A空间内的压强低于被抽容器内的压强,根据气体压强平衡的原理,被抽的气体不断地被抽进吸气腔A,此时压缩腔B空间的容积正逐渐减小,气体压力不断地增大,同时与排气口相通的排气腔C的容积进一步地减小,排气腔C的空间压强进一步地升高,当气体的压强大于排气压强时,被压缩的气体推开排气阀,穿过油箱内的油层而排至大气中。
在泵的连续运转过程中,不断地进行着吸气、压缩、排气过程,从而达到连续抽气的目的。显然转子的转速愈快,则泵的抽速愈大。机械泵的转速一般在450~1400r/min之间,因为转速太高,密封极为困难。排气阀浸在油里,以防止大气流人泵中。为保证吸气腔和排气腔之间不漏气,除保证紧密接触之外,还采用蒸气压力较低且有一定薪度的专用机械泵油,并使油通过泵体上的间隙、油孔及排气阀进人泵腔,使泵腔内所有运动的表面被油覆盖,形成了吸气腔与排气腔的密封。此外机械泵油还起着润滑和帮助在气体压强较低时打开排气阀门的作用。同时机械泵油还可充满了一切有害空间,以消除它们对极限真空的影响。
上面讨论的机械泵只有一个转子,称为单级旋片式真空泵,它所能达到的极限压强为1Pa。为提高极限压强,通常采用双级泵结构,即将两个单级泵串联起来,可使极限压强达到 Pa数量级。
特点
成本低廉、经济耐用
工作范围:大气~低真空
极限真空:0.1Pa
缺点:返油、振动
使用与维护
更换机械泵油
清洁抽气入口处滤网
维护油过滤器滤芯
二、罗茨泵
罗茨真空泵(简称:罗茨泵)是指泵内装有两个相反方向同步旋转的叶形转子,转子间、转子与泵壳内壁间有细小间隙而互不接触的一种变容真空泵。
罗茨真空泵在石油、化工、塑料、农药、汽轮机转子动平衡、航空航天空间模拟等装置上得到了长期运行的考验,所以应该在国内大力推广和应用。同时也广泛用于石油、化工、冶金、纺织等工业。真空泵配件作为真空泵消音器,用于真空泵的噪声治理。

工作原理
罗茨泵(roots-type pump) 是一种无内压缩的真空泵,通常压缩比很低,故高、中真空泵需要前级泵。靠泵腔内一对叶形转子同步、反向旋转的推压作用来移动气体而实现抽气的真空泵。罗茨真空泵是指具有一对同步高速旋转的鞋底形转子的机械真空泵,此泵不可以单独抽气,前级需配油封、水环等可直排大气。它的结构和工作原理与罗茨鼓风机相似,工作时其吸气口与被抽真空容器或真空系统主抽泵相接。这种真空泵的转子与转子之间、转子与泵壳之间互不接触,

间隙一般为0.1~0.8毫米;不需要用油润滑。转子型线有圆弧线、渐开线和摆线等。渐开线转子泵的容积利用率高,加工精度易于保证,故转子型线多用渐开线型。罗茨真空泵的转速可高达3450~4100转/分;抽气速率为30~10000升/秒(1升=10-3米3);极限真空:单级为6.5×10-2帕,双级为1×10-3帕。
罗茨泵的极限真空除取决于泵本身结构和制造精度外,还取决于前级泵的极限真空。为了提高泵的极限真空度,可将罗茨泵串联使用。罗茨泵的工作原理与罗茨鼓风机相似。由于转子的不断旋转,被抽气体从进气口吸入到转子与泵壳之间的空间v0内,再经排气口排出。由于吸气后v0空间是全封闭状态,所以,在泵腔内气体没有压缩和膨胀。但当转子顶部转过排气口边缘,v0空间与排气侧相通时,由于排气侧气体压强较高,则有一部分气体返冲到空间v0中去,使气体压强突然增高。当转子继续转动时,气体排出泵外。罗茨泵在泵腔内,有二个“8”字形的转子相互垂直地安装在一对平行轴上,由传动比为1的一对齿轮带动作彼此反向的同步旋转运动。在转子之间,转子与泵壳内壁之间,保持有一定的间隙,可以实现高转速运行。
结构组成
罗茨真空泵的两个转子在泵体中如何布置,决定了泵的总体结构。国内外罗茨真空泵的总体结构布置一般有三种方案:
1.立式:两个转子的轴线呈水平安装,但两个转子轴线构成的平面与水平面垂直,这种结构,泵的进排气口呈水平设置,装配和连接管道都比较方便。但其缺点是泵的重心太高,在高速运转时稳定性差,所以除小规格的泵外,采用这种结构型式的不太多。
2.卧式:两个转子的轴线呈水平安装,两个转子轴线构成的平面成水平方向,这种结构的泵的进气口在泵的上方,排气口在泵的下方(也有与此相反的)。下边的排气口一般为水平方向接出,所以进排气方向是相互垂直的。排气口接一个三通管向两个方向开口,一端接排气管道,另一端死或接旁通阀时使用。这种结构的特点是重心低,高速运转时稳定性好。国内外大中型泵多采用此种结构型式。
3.竖轴式:国外有的罗茨泵的两个转子轴线与水平面垂直安装。这种结构的装配间隙容易控制,转子装配方便,占地面积小,但齿轮等传动机构装拆不便,润滑装置也较复杂。
当总体结构决定后,泵体本身的结构与形状也就相应地决定了。
4.带溢流阀的罗茨泵:为了防止超载引起事故,罗茨泵上装有一个比较可靠的安全保护器,即在旁通管路上装有一个溢流阀。排气口处于规定压力时,溢流阀是关闭的。当其排气口压力超过规定压力时,则溢流阀的阀门自动被顶开而产生溢汉,排气口压力变正常后,溢流阀再自行关闭。它能自动调节,也是泵的允许压差装置,因此溢流阀的最大好处是使罗茨泵能连同前级泵一起,在各种压力范围内能连续运转。采用这种设计,能使真空容器在粗真空状态的抽气停息时间可缩短30~50%.对于比较大的泵,溢流阀安装在泵体外边的旁通管路上,在比较小的泵上,溢流阀则是装在泵壳内的。
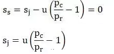
5.带蒸汽冷凝器的罗茨泵:在需要抽吸蒸汽情况下,抽气机组必须设计会使蒸汽冷凝的冷凝器,这个冷凝器可装在泵之前或装在泵之后,而不装在罗茨泵的泵体上。在某种情况下,冷凝特升化吸热能够减少罗茨泵发热。假设采用了复式冷凝器,在维修时可用适当的溶剂清除污垢,蒸汽就能顺畅地在导管中流动。从特征曲线可以看出当达到极限真空时,通过泵入口的正向气流量为零,既泵的实际抽速为零,式:

Pc和Pr事实就是前级泵和罗茨真空泵的极限压力,达到极限真空是几乎为分子流状态,将其导通能力带入式中:

理论抽速
P0—罗茨真空泵的极限压力
P0φ—前级真空泵的极限压力
11.6F —20℃时空气的导通能力
因此选择不同的前级泵可以获得不同的极限真空
冷却装置
1.空气冷却:罗茨真空泵由于输送和压缩气体而产生热量,这些热量必须从转子传至壳体而散发。但在低压下,气体对热的传导和对流性能极差,致使转子吸收的热量不易散出,造成转子温度永远高于壳体的温度。由于转子的热膨胀,使转子与转子间、转子与泵壳间的间隙减少,特别在压差也高的情况下,尤为严重,甚至造成转子卡死,使泵损坏。为了使罗茨泵在较高的压差下工作,以扩大使用范围,增加泵的可靠性,就必须设法散出转子产生的热量,也就是说要对转子进行冷却。
为了理解空气冷却的实质,先来看一下气体在罗茨真空泵排气一侧的流动情况,在罗茨真空泵中吸入气体被压缩的过程不是连续的,而是突然的。吸入气体随转子转动而被封闭于腔内,又随转子的旋转,使腔内的气体突然与排气口接通。由于排气一侧的气体压力较高,排气口处的气体就向腔中返冲,然后又随着转子的旋转而被驱赶排出泵外。这样的过程在每旋转一周中两个转子共进行四次排气过程。
从上述气体的流动情况可以设想:假若每次返冲到泵腔中的气体是冷的,则可以在高温的泵腔内吸收大量的热量,这些吸收了热量的气体又在转子的继续压缩中排出,从而会达到转子冷却的目的。
空气冷却就是运用上述原理。在泵的排气口处设置密集的冷却片,冷却片用冷水管进行冷却,或在泵的排气口处直接安装冷却水管,这样排气口处的气体就会降温,这种冷却方法能有效地散出罗茨泵转子在压缩气体中所产生的执量。而且当排气压力较高时,因气体分子的密度大,使热传导性能更好,其冷却效果也好些。使用这种方法能保证泵在较高的压差下作,实验证明,一台罗茨泵在0.3Pa压差下运转6h,其转子在外壳的温度差为22度,当在排气口处安装冷却器后,在0.8Pa压差下长其运转,其温差也不超过17度。一般说来,罗茨真空泵采用空气冷却之后,可将压差提高0.8Pa,而不加冷却器一般只能达到0.15~0.30Pa。
这种冷却方法与环境温度有关系,环境温度高吸入的气体温度就高。则冷却效果就不好。此外,这种方法只能避免高压差产生的高热,而不能防止泵压缩过程中发热,而引起间隙变小的问题,所以受泵本身间隙的限制。
2.转子的内部冷却:为了使罗茨真空泵在更高压差下工作,可采取更有效的冷却方法,即将转子用循环油冷却,在泵轴两端分别有油孔、油径轴头打入,经转子内壁再从另一端排出。冷却油除冷却转子外,还润滑齿轮和轴承。这种冷却效果较好,泵在运转时转子温度低于外壳温度,大泵常采用这种方式。例如在80Torr压差下工作时,罗茨真空泵转子温度较外壳低78度,同时还发现泵负荷越重时,则间隙越大,这是因为转子用油冷却,温度比壳体低,负荷越大,壳体膨胀越厉害,轴间距加大,所以间隙会增大。
由于负荷大,转子和壳体温差不断增高,使间隙不断增大,这会使首逆流增大,引起罗茨真空泵抽速下降。为了克服这个缺点,罗茨泵在高负荷下工作时,需要采用有效措施,一般是将罗茨真空泵的外壳和转子同时采用油循环系统进行冷却。
3.转子的油膜冷却:这种冷却方法是在罗茨真空泵入口处连接一个输油管,用均匀滴下的冷却油带走转子的热量。油经过滤器器、冷却器,通过密封良好的油泵,再经过办输油管将油送到泵的入口。油滴到转子上之后,随着转子的旋转而均面在转了子的表面上。这不仅将转子的热量带走,同时在两个转子表面上形成油膜,防止气体的逆流,而且还能将转子表面上依附的微细尘埃带走。在泵的出口处设有油槽,收集废油,经过过滤,冷却后重新循环使用。此种方法效果良好。但由于泵内有油,失去了罗茨泵无油蒸汽污染真空系统的特点。再则油具有一定的粘度,对高速旋转的罗茨泵转子增加了不少的摩擦力,当然使泵的功率消耗增加。
所使用的油,要求饱和蒸汽压应尽量大。
4.水冷却:所谓湿式罗茨真空泵,即是由间级或双级泵吸入的空气经压缩后,通过综合吸收及有相位差的组合消音器传送。将微量的水注入泵内,便能消除因压缩空气而产生的热量。吸入水管装在单级或双级泵组的吸气端并连接到真空泵的进气口上。水是靠真空泵产生的真空度而吸入,真空度越大,吸入水量就越高。用一只简单的调节阀门便能保证最佳的吸入量,吸入水的温度应保持在20度左右,要清洁,无钙质。
结构特点
(1)在较宽的压力范围内有较大的抽速;
(2)转子具有良好的几何对称性,故振动小,运转平稳。转子间及转子和壳体间均有间隙,不用润滑,摩擦损失小,可大大降低驱动功率,从而可实现较高转速;
(3)泵腔内无需用油密封和润滑,可减少油蒸气对真空系统的污染;
(4)泵腔内无压缩,无排气阀。结构简单、紧凑,对被抽气体中的灰尘和水蒸汽不敏感;
(5)压缩比较低,对氢气抽气效果差;
(6)转子表面为形状较为复杂的曲线柱面,加工和检查比较困难。罗茨真空泵近几年在国内外得到较快的发展。在冶炼、石油化工、电工、电子等行业得到了广泛的应用。
性能特点
罗茨真空泵的特点是:启动快,耗功少,运转维护费用低,抽速大、效率高,对被抽气体中所含的少量水蒸汽和灰尘不敏感,在100~1帕压力范围内有较大抽气速率,能迅速排除突然放出的气体。这个压力范围恰好处于油封式机械真空泵与扩散泵之间。因此,它常被串联在扩散泵与油封式机械真空泵之间,用来提高中间压力范围的抽气量。这时它又称为机械增压泵。
罗茨真空泵广泛用于真空冶金中的冶炼、脱气、轧制,以及化工、食品、医药工业中的真空蒸馏、真空浓缩和真空干燥等方面。真空泵配件为用于真空泵噪声治理的,真空泵消音器。
保养方法
(一)、罗茨真空泵定期检查:
1、每日检查:
a)油位检查:油量过多,使温度升高,油量过少,造成润滑不良。
b)温度检查:用温度计检查泵各部位温度。
c)电动机负荷检查:用功率表或电流,电压表测量电动机负荷。
2、罗茨真空泵每月检查:
联轴器及垫片是否损坏和松动。
3、罗茨真空泵每3个月检查:
齿轮箱内润滑油是否变质。
4、罗茨真空泵每6个月检查:
a)前盖轴承箱内润滑油是否变质。
b)活塞环及活塞环衬套是否磨损。
c)齿轮微量程度的磨损对转子正常运转是否产生影响,是否需要调整。
(二)、罗茨真空泵拆装:
增压泵进行拆卸和重新装配时,须根据以下注意事项进行:
1、罗茨真空泵未拆卸前,先测量并记录转子各部分间隙。
2、尽量避免用重锤敲打,拆下的零件不得碰伤,妥善保管好。
3、将需要更换的零部件的更换原因及使用情况详细记录下来。
4、罗茨真空泵重新装配前须把各零部件清洁干净,毛刺修光。
5、无密封垫衬或密封圈的静密封面用“106”有机硅橡胶涂料。用干净密封的橡胶密封件,需涂上真空考克脂。带溢流阀真空泵溢流阀上的密封圈及平面上不得涂任柯油脂。
6、根据间隙一览表调整转子各部分间隙。
7、全部装好后须进行检漏。
8、重装后须进行试运转和必要的性能测试,待正常后才能安装使用。
注意事项
罗茨泵工作原理性能特点罗茨泵实质上与凸轮泵相同,但转子是罗茨型的。它能输送黏度为数万厘泊的液体。罗茨泵主要是有两个旋转方向相反的转子位于泵体中,由一对同步齿轮传动,对于罗茨泵的转子,在泵体内是互相啮合的,但具有间隙。间隙大小主要取决于液体黏度。超过一定黏度范围必须调整增大间隙。
1、罗茨泵经常检查油位位置,不符合规定时须调整使之符合要求.以罗茨泵运转时,油位到油标中心为准。
2、罗茨泵换油期限按实际使用条件和能否满足性能要求等情况考虑,由用户酌情决定.一般新罗茨泵,抽除清洁干燥的气体时,建议在工作100小时左右换油一次.待油中看不到黑色金属粉末后,以后可适当延长换油期限。
3、罗茨泵经常检查油质情况,发现油变质应及时更换新油,确保罗茨泵工作正常。
4、罗茨泵一般情况下,罗茨泵工作2000小时后应进行检修,检查桷胶密封件老化程度,检查排气阀片是否开裂,清理沉淀在阀片及排气阀座上的污物.清洗整个罗茨泵腔内的零件,如转子,旋片,弹簧等.一般用汽油清洗,并烘干.对橡胶件类清洗后用干布擦干即可.清洗装配时应轻拿轻放小心碰伤。
5、罗茨泵向轴承体内加入轴承润滑机油,观察油位应在油标的中心线处,润滑油应及时更换或补充。
6、罗茨泵检查罗茨泵管路及结合处有无松动现象.用手转动罗茨泵,试看罗茨泵是否灵活。
7、罗茨泵重新装配后应进行试运行,一般须空运转2小时并换油二次,因清洗时在罗茨泵中会留有一定量易挥发物,待运转正常后,再投入正常工作。
8、罗茨泵开动电机,当罗茨泵正常运转后,打开出口压力表和进口罗茨泵,视其显示出适当压力后,逐渐打开闸阀,同时检查电机负荷情况。
9、罗茨泵尽量控制罗茨泵的流量和扬程在标牌上注明的范围内,以保证罗茨泵在最高效率点运转,才能获得最大的节能效果。
三、分子泵
分子泵是利用高速旋转的转子把动量传输给气体分子,使之获得定向速度,从而被压缩、被驱向排气口后为前级抽走的一种真空泵。

常见的分子泵
1)牵引分子泵 气体分子与高速运动的转子相碰撞而获得动量,被驱送到泵的出口。
2)涡轮分子泵 靠高速旋转的动叶片和静止的定叶片相互配合来实现抽气的。这种泵通常在分子流状态下工作。
3)复合分子泵 它是由涡轮式和牵引式两种分子泵串联组合起来的一种复合型的分子真空泵。
工作条件
(1)转子转速达到20000r/min,故分子泵启动时间较长。
(2)气体处于分子流状态,故需要配备前级泵,一般使用旋片泵作为前级泵。
结构特点
复合式分子泵是涡轮分子泵与牵引分子泵的串联组合,集两种泵的优点于一体。泵在很宽的压力范围内 ((10-6 ~ 1Pa) 具有较大的抽速和较高的压缩比,大大提高了泵的出口压力。法国 Alcatle 公司生产的一种采用气体静压轴承和动密封的复合分子泵,可以做到完全无油,且不用前级泵直接向大气中排气。
分类
复合式分子泵的形式很多,按结构分,主要有两种:一种是涡轮叶片与盘式牵引泵的串联组合;另一种是涡轮叶片与筒式牵引泵的串联组合。涡轮级主要用来提高泵的抽速,一般采用有利于提高抽速的叶片形状,级数在 l0 级以内。牵引级主要用来增加泵的压缩比,提高泵的出口压力。
盘式牵引级是在平板圆盘平面上按一定规律开出数条型线沟槽,然后将数块圆盘串接起来构成,型线有阿基米德螺线、对数螺线、圆弧线等。抽气时靠高速转动的圆盘对气体分子进行“拖动”,使其沿沟槽作由内向外及由外向内的往复折回的定向流动,从而达到抽气目的。
筒式牵引级是在圆筒形的转子或定子的圆柱面上开一定断面形状的沟槽,如矩形、圆弧形、三角形及其它形状的多头螺旋槽。由于简式牵引泵型线沟槽开在转子圆柱外表面或泵体内表面上,因此可以充分利用圆柱外圆较高的线速度对气体分子进行动量传递,提高泵的抽气效果。在设计制造中,可以通过改变螺旋沟槽通道与抽气方向之间的夹角 ( 螺旋升角 ) 来达到较理想的抽气效果。
设计要点
在复合分子泵的设计中,必须处理好涡轮级与牵引级之间的应配和衔接关系。由于涡轮级有较大的抽气面积,抽速很大,而牵引级沟槽抽气面积较小,在两种结构的联接处,由涡轮叶片压缩下来的气体分子的流动方式突然转变,使气体分子的运动在联接处由有序变成无序,至使返流增加,抽气能力下降。因此,在设计时应在涡轮级和牵引级转换处加上过渡级结构,以提高泵的抽气性能。随着复合分子泵的不断改进,其应用领域越来越广,在某些抽气系统上可以替代扩散泵,缩短了系统的抽气时间,并可获得无油污染的清洁真空环境。
四.扩散泵
扩散泵是目前获得高真空的最广泛、最主要的工具之一,通常指油扩散泵。扩散泵是一种次级泵,它需要机械泵作为前级泵。

工作原理
扩散泵中的油在加热到沸腾温度(约为200度)后产生大量的油蒸气,油蒸气经导流管从各级喷嘴定向高速喷出。由于扩散泵进气口附近被抽气体的分压强高于蒸气流中该气体的分压强,被抽气体的分子便不断扩散到高速定向蒸气流中,随着蒸气流带走。气体分子随蒸气流碰到泵壁又反射回来,再受到蒸气流碰撞而重新沿蒸气流方向流向泵壁。经过几次碰撞后,气体分子被压缩到低真空端,再由下几级喷嘴喷出的蒸气进行多级压缩,最后由前级泵抽走,而油蒸气在冷却的泵壁上被冷凝后又返回到下层重新被加热,如此循环工作达到抽气目的。
组成结构

高真空泵扩散泵主要结构有泵体、冷却帽、喷嘴、蒸气导流管、加热器和冷却器等。
性能参数
通常扩散泵的性能是以极限真空、最大反压强、抽气速率以及设置冷阱或低温挡板而定。
1.极限真空
如果对一般油扩散泵的结构进行改进,如减少油蒸气的返流,加分镏装置,合理分配加热功率,改进喷嘴角度设计,加以挡油帽、障板或冷阱、吸附阱等,就能使扩散泵性能大大改善,极限真空可达到更低的压强。油扩散泵工作压力范围是10^-1~10^-6Pa,起始压力正好是机械泵的极限压力,因此,油扩散泵通常要利用机械泵作为前级泵,将真空度抽到10^-1Pa后才能开始工作。
2.最大反压强
最大反压强是指扩散泵所允许的前置压强最大值。如果前级泵所产生的压强高于最大反压强,则扩散泵就不能正常工作。
3.抽气速率
扩散泵的抽速可根据气体分子运动理论来推算出来。
4.设置冷阱及低温挡板的原因
由于扩散泵喷嘴喷出来的油蒸气分子,大部分由泵壁冷凝,这是因为泵壁外设置冷却水套或冷却管道的缘故。但是有少部分蒸气分子被泵壁反射,散射会返回被抽空间,这种现象在低温实验室中要特别注意。如在扩散泵和被抽容器之前加上冷阱或低温挡板,这样就能使返加的蒸气被冷凝下来,截止了油蒸气的返流。
影响油扩散泵性能的因素如下:
1、油扩散泵的返流。
2、气体分子的反扩散。
4、泵清洗不干净,污染物质留在泵内并重复循环,影响其真空度。